编者按:“浙江师大新葡萄8883”微信公众号长期开设“学术心动态”栏目,定期推送新葡萄8883官网AMG师生的学术动态,以增强科研氛围并促进学术交流。
近期,新葡萄8883官网AMG詹沛达课题组在行为研究方法顶刊Behavior Research Methods (JCR Q1; 中科院[心理学: 数学]1区; 5-IF = 7.7)发表了题为Longitudinal joint modeling for assessing parallel interactive development of latent ability and processing speed using responses and response times的学术论文。詹沛达副教授为论文第一作者和通讯作者,我院2020级硕士研究生陈琦鹏为论文第二作者,其他合作者包括佐治亚大学的Wang, Shiyu教授和香港大学的Zhang, Xiao教授。该研究得到了国家自然科学基金(31900795)的资助。
论文来源:Zhan, P., Chen, Q., Wang, S., & Zhang, X. (2024). Longitudinal joint modeling for assessing parallel interactive development of latent ability and processing speed using responses and response times. Behavior Research Methods, 56, 1656-1677.
文章链接:https://doi.org/10.3758/s13428-023-02113-5

内容简介
在心理学和行为科学中,人们经常对一个或多个群体中个体的发展变化感兴趣,如他们的认知水平和行为模式随时间的变化。针对该议题,大量纵向潜变量模型被提出;但已有模型多局限于对传统纵向作答精度(response accuracy, RA)数据(e.g., 对错或顺序数据)的分析与利用,进而局限于追踪由RA数据测量的心理构建(e.g., 潜在能力)的发展变化。随着信息技术的发展,对问题解决过程数据的采集已趋于常态化。其中,题目作答时间(response time, RT; 即学生考虑和解决每道题目所花费的时间)作为传统RA数据的补充,可以提供有关学生解决同一问题的认知过程或行为模式的平行数据(如,学生花费60秒正确解决某任务)。RT数据可以额外提供学生在问题解决过程中的加工速度信息;已有研究表明联合分析RA和RT数据不仅可以揭示潜在能力和加工速度之间的关系,还可以提高对潜在能力的参数估计精度。因此,挖掘多源测评数据所蕴含的丰富信息有助于测查学生的知识结构、 探究学生的问题解决策略及反映学生的认知风格或认知流畅性等特点,对综合评价学生具有重要理论和实践意义。
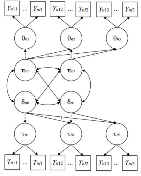
实际上,人类的行为或认知过程是由多个相互关联的构念的共同产生的。因此,个体构念的发展可能不是相互独立进行的,而是在彼此之间的相互影响下共同发展;在本研究中,这种独自发展但又相互影响的构念变化被称为“并行交互发展(parallel interactive development)”。为充分利用纵向RA数据和纵向RT数据测量潜在能力和潜在加工速度的并行交互发展,本研究基于结构方程模型提出了3种纵向联合建模方法:基于无结构化协方差矩阵的纵向联合建模法、基于潜在增长曲线的纵向联合建模法和基于自回归交叉滞后的纵向联合建模法。新模型不仅可以分别提供潜在能力和潜在加工速度独自的随时间发展的变化轨迹,还可以提供两者之间的跨时间相互影响。本研究以一个针对空间旋转的计算机化学习任务和一个纵向感数(subitizing)任务为例,展现了三个模型的实践应用价值。两项实证研究结果表明:(1)三种模型在分析同一数据集时,对潜在能力和加工速度的变化的估计结果具有高度一致性;(2)额外分析纵向RT数据不仅可获取学生潜在加工速度发展轨迹,还可以揭示单独使用RA数据难以探测的并行交互发展。另外,本研究还通过蒙特卡洛模拟研究探索了新模型的心理测量学性能。最后,从研究和实践的角度讨论了研究结果的启示。

图1 基于无结构化协方差矩阵的纵向联合建模法示意图

图2 基于潜在增长曲线的纵向联合建模法示意图

图3 基于自回归交叉滞后的纵向联合建模法示意图
主要作者简介
詹沛达,博士,新葡萄8883官网AMG副教授。主要研究领域为心理测量学(Psychometrics),研究方向为心理与教育行为数据的潜变量建模与应用。在Psychometrika、Behavior Research Methods、British Journal of Mathematical and Statistical Psychology、Journal of Educational and Behavioral Statistics、Applied Psychological Measurement、Educational and Psychological Measurement和《心理学报》等专业期刊发表学术论文60余篇。主持国自然、教育部人文社科和浙江省哲社规划课题等项目。
陈琦鹏,新葡萄8883官网AMG2020级硕士研究生,University of Alabama攻读博士学位。主要研究领域为心理测量学(Psychometrics),研究方向为心理与教育行为数据的潜变量建模与应用。以第一作者或合作者身份在Behavior Research Methods、Intelligence、《心理学报》《心理科学》和《应用心理学》等专业期刊发表学术论文多篇。
